Publications.
Early cost-utility analysis of tissue-engineered heart valves compared to bioprostheses in the aortic position in elderly patients
Bioprosthetic aortic valve replacement in elderly patients: Meta-analysis and microsimulation
The Ross Procedure: A Systematic Review, Meta-Analysis, and Microsimulation
Beyond the clinical impact of aortic and pulmonary valve implantation: health-related quality of life, informal care and productivity
What Is the Potential of Tissue-Engineered Pulmonary Valves in Children?
Contemporary outcomes after surgical aortic valve replacement with bioprostheses and allografts: a systematic review and meta-analysis
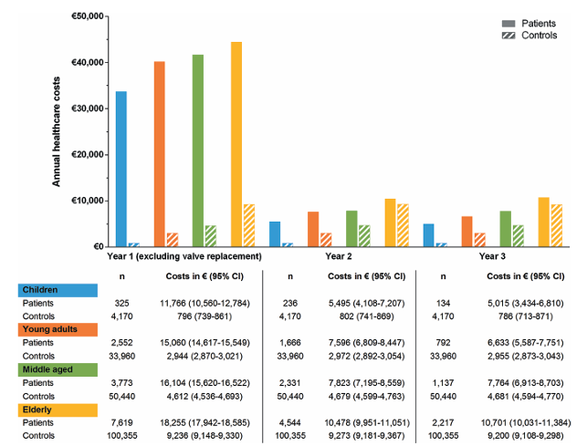
How much does a heart valve implantation cost and what are the health care costs afterwards?
The Risk in Avoiding Risk: Optimizing Decision Making in Structural Heart Disease Interventions
Systematic review of model-based economic evaluations of heart valve implantations